A la hora de iniciar la construcción de un túnel (u otro tipo de excavación subterránea) es de vital importancia determinar la estabilidad del mismo, ya que el frente de la infraestructura podría colapsar durante la construcción si la presión aplicada no es la adecuada, con consecuencias fatales.
El conocimiento de la estabilidad de frente está adquiriendo mayor importancia debido a que cada día los túneles se ejecutan en terrenos más complejos, aumentando los riesgos de derrumbe. Este fenómeno de inestabilidad del frente de excavación se da sobretodo en túneles ejecutados por métodos tradicionales en rocas blandas (sin utilizar tuneladora u otros mecanismos para confinar el frente).
Es importante valorar el colapso del frente porque puede tener consecuencias muy graves durante la construcción: puede producir una rotura compleja en tres dimensiones, formándose una chimenea que provoque grandes problemas en superficie y que llegue a costar la vida de los trabajadores.
De todos los colapsos existentes el HSE (Health and Safety Executive) asignó que las causas se encuentran dentro de estos tres grupos:
- Colapsos debidos a problemas en la estabilidad del frente o cercanías.
- Colapsos debidos al sostenimiento provisional.
- Colapsos debidos a otras causas.
La mayor parte de estos colapsos (el 50 %) corresponden al primer punto, por lo que es muy importante asegurar la estabilidad del frente.
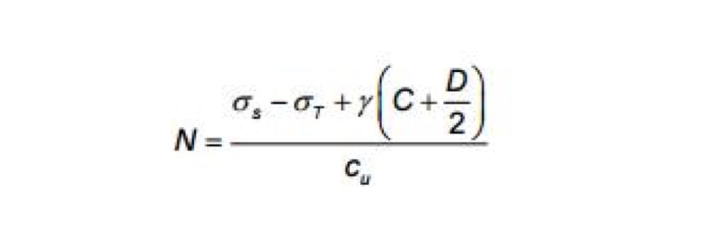
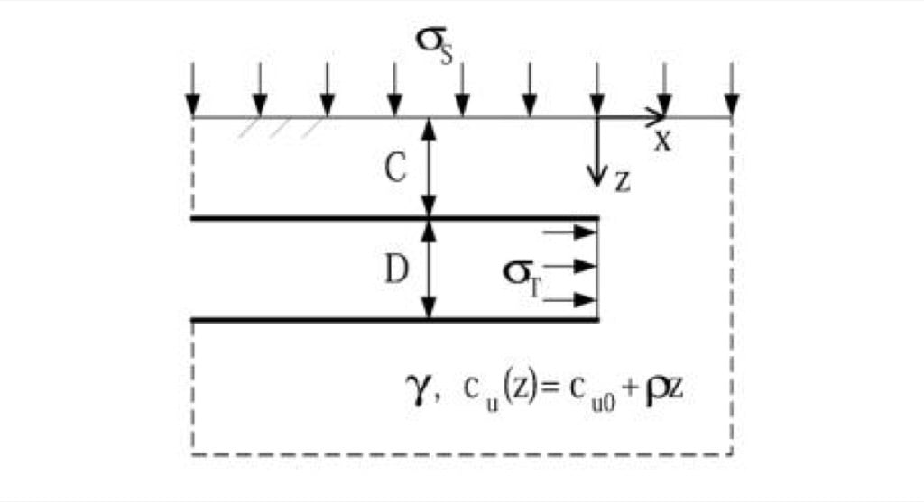
Una vez dispongamos de los parámetros geotécnicos del terreno y de la geometría del túnel que queremos excavar, una aproximación aceptable a la hora de analizar la estabilidad de un frente es la resultante de emplear la ecuación clásica propuesta por Broms y Bennermark, modificada por Davies et al y Atkinson y Mair, años después:

Donde:
N = número de estabilidades.
σs = presión de sobrecarga en superficie (kPa).
σT = presión interior del túnel (kPa).
γ = densidad aparente del terreno (KN/m3).
C = Cobertura hasta clave del túnel (m).
D = diámetro del túnel (m).
cu = resistencia al corte sin drenaje (kPa).

Si el valor obtenido en la ecuación es inferior a 6,0, el frente se puede considerar estable. Si el valor de la ecuación es superior a este número, pueden presentarse problemas de inestabilidad.
Como decíamos, esta ecuación representa de forma simplificada la realidad, ya que no contempla que el fenómeno real se produce en tres dimensiones, pero nos permite obtener un valor orientativo de la estabilidad de frente de un túnel bastante aproximado.
Adicionalmente, existen otros métodos numéricos en tres dimensiones que permite calcular la estabilidad de frente con resultados mucho más precisos mediante programas de software avanzado.